LAB 4 — Introduction to Modeling Species-Environment Relations

Introduction

We often want to characterize the distribution of vegetation concisely and quantitatively, as well as to assess the statistical significance of observed relationships. The typical approach to such inferential analysis is (multiple) linear regression by least squares. Unfortunately, vegetation data generally violate the basic assumptions of linear regression. Specifically, the dependent variable is generally species presence/absence or cover, neither of which meet the assumption of an unbounded dependent variable. Presence/absence is either 0 or 1, with no intermediate value possible and no values less than 0 or greater than 1. Cover is always at least 0, and is generally bounded on the upper end at 100. In addition, linear regression by least squares assumes that the errors are normally distributed with zero mean and constant variance; this is rarely if ever true for vegetation data.

Fortunately, alternative inferential statistics have been developed which eliminate (or at least finesse) these problems. The first technique we will explore is "Generalized Linear Models", specifically techniques known as "logistic regression" and "poisson regression."

Generalized Linear Models

Generalized linear models eliminate the problem of bounded dependent variables by transformation ( to the logit [log of the odds ratio]) for logistic and log cover for poisson regression respectively). While these transformations can be employed in linear regression by least squares, generalized linear models also simultaneously eliminate the problem that the variance is no longer approximately constant by employing the appropriate variance for binomial and poisson distributions in a weighted, iterated least squares calculation. While direct analytical solution of the least squares problem is no longer possible, efficient computer algorithms exist to solve the iterated problem.

Example Logistic Regression

Generalized linear logistic regression (and Poisson regression) are based on minimizing deviance. Deviance is a concept similar to variance, in that it can be used to measure variability around an estimate or model, but has a different calculation for logistic or Poisson values. Deviance is often a difficult concept to grasp, and like many things, may be best appreciated through an example. The following is an extremely simplified example of logistic regression to help demonstrate definitions and calculations.

Suppose we had two vectors:

demo <- c(0,0,0,0,1,0,1,1,1,1)
x <- 1:10
where demo is the presence/absence of a species of interest, and x is the value of a variable of interest, perhaps along a gradient. If we look at the distribution, you can easily visualize that demo is generally absent at low values of x, and generally present at high values of x

Suppose we try fitting a linear regression through these data.

demo.lm <- lm(demo~x)
summary(demo.lm)
Call:
lm(formula = demo ~ x)
 
Residuals:
       Min         1Q     Median         3Q        Max
-5.697e-01 -1.455e-01 -3.469e-18  1.455e-01  5.697e-01
 
Coefficients:
            Estimate Std. Error t value Pr(>|t|)
(Intercept) -0.26667    0.22874  -1.166  0.27728
x            0.13939    0.03687   3.781  0.00538 **
---
Signif. codes:  0 `***' 0.001 `**' 0.01 `*' 0.05 `.' 0.1 ` ' 1
 
Residual standard error: 0.3348 on 8 degrees of freedom
Multiple R-Squared: 0.6412,     Adjusted R-squared: 0.5964
F-statistic:  14.3 on 1 and 8 DF,  p-value: 0.005379
The results show that demo is highly related to x, or, in other words, that x is "highly significant", note the ** for x in the summary. Looks good! Let's see what the model looks like.
points(x,fitted(demo.lm),col=2)

Notice how the fitted points start below 0 and slant upward past 1.0. If we interpret these values as probabilities that species demo is present, we get some nonsensical values. When x is less than or equal to 2, we get negative probabilities. When x is greater than 9, we get probabilities greater than 1.0. Neither of those is possible of course.

Actually, there are two primary problems:

Alternatively, we can fit a generalized linear model that models the log of the odds (called the logit) rather than the probability, and finesse both problems simultaneously. If we fit a GLM as follows

demo.glm <- glm(demo~x,family=binomial)
plot(x,demo,ylim=c(-0.2,1.2))
points(x,fitted(demo.glm),col=2,pch="+")
we get

The red crosses represent the fitted values from the GLM. Notice how they never go below 0.0 or above 1.0. In addition, the family=binomial specification in the glm() function specifies a logistic regression and makes sure that the fitting function knows that the variance is proportional to the fitted value times 1 minus the fitted value, rather than constant.

OK, so where does deviance enter in? Deviance is calculated as -2 * the log-likelihood. In a logistic regression you can visualize the deviance as lines drawn from the fitted point to 0 and 1, as shown below.

We take the length of each arrow and multiply that times the log of that length and add to the same calculation for the other arrow for that point. Finally, take -2 * the sum of all those values. If you look at the first point, for example, the fitted value is almost exactly on top of the actual value, so the length of one of the arrows is almost zero (and in fact not shown on the drawing as they are too small to draw). For this point, the deviance is very small. In fact

fitted(demo.glm)
          1           2           3           4           5           6
0.002850596 0.010397540 0.037179991 0.124285645 0.342804967 0.657195033
          7           8           9          10
0.875714355 0.962820009 0.989602460 0.997149404
shows that the fitted value of the first point is 0.002850596. If we calculate the deviance for just that point
-2 * (0.002850596*log(0.002850596)+(1-0.002850596)*log(1-0.002850596))
[1] 0.03910334
it's only 0.03910334, a very small value. If we look at point 5, its fitted values is 0.342804967. The deviance associated with point 5 is
-2 * (0.342804967*log(0.342804967)+(1-0.342804967)*log(1-0.342804967))
[1] 1.285757
This is a much higher value. In a logistic regression, deviances of greater than one for a single point are indicative of poor fits.

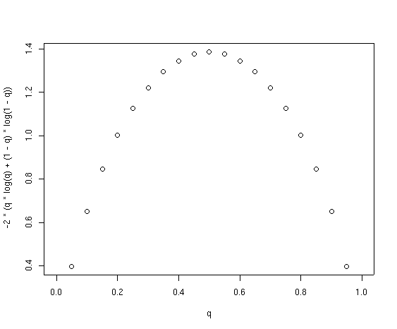
What's the most deviance a single point can contribute? Well, let's look at the distribution for deviance for all probabilities between 0 and 1.

q <- seq(0.0,1.0,0.05)
plot(q,-2*(q*log(q)+(1-q)*log(1-q)))

Notice how the curve is uni-modal, symmetric, and achieves its maximum value at 0.5. Notice too how probabilities greater than 0.2 and less than 0.8 have deviance greater than 1. The maximum deviance for a single point in a logistic regression is for probability = 0.5, where it reaches 1.386294.

Examples with the Use of R

Returning to the Bryce Canyon data set, we will attempt to model the distribution of Berberis (Mahonia) repens, a common shrub in mesic portions of Bryce Canyon. Preliminary graphical analysis (shown below, Berberis locations in red) suggests that the distribution of Berberis repens is related to elevation and possibly aspect value.

First, get into the appropriate directory for the Bryce data, and start R. Then, remember to attach both site and veg.

To model the presence/absence of Berberis as a function of elevation, we use:

bere1.glm <- glm (berrep>0 ~ elev, family = binomial)
Remember that in R equations are given in a general form, and that we can use logical subscripts.

bere1.glm<-glm evaluates to "store the result of the generalized linear model in an object called 'bere1.glm'." Any object name could be used, but "variable.glm" is concise and self-explanatory. The number 1 is in anticipation of fitting more models later. berrep>0 evaluates to a logical, 0 (absent) or 1 (true), and ~ elev evaluates to "as a function of elevation." The family = binomial tells R to perform logistic regression, as opposed to other forms of GLM.

R calls the estimated probabilities "fitted values", and we can use the fitted function to extract the probabilities from our GLM object (bere1.glm). To see a graphical representation of the fitted model, do

plot(elev,fitted(bere1.glm),xlab='Elevation',
             ylab='Probability of Occurrence')

Notice how the fitted curve is a smooth sigmoidal curve. The logistic regression is linear in the logit, but when back transformed from the logit to probabilities, it's sigmoidal. This is a good start, but we originally assumed that the presence/absence of Berberis was a function of both elevation and aspect. In addition, following conventional ecological theory we might assume that the probability exhibits a unimodal response to environment. To get a smooth unimodal response is simple. Just as a linear logistic regression is sigmoidal when back transformed to probability, a quadratic logistic regression is unimodal symmetric when back transformed to probabilities. Accordingly, let's fit a model that is quadratic for elevation and aspect value. We use:

bere2.glm <- glm(berrep>0~elev+I(elev^2)+av+I(av^2),family=binomial)

~elev+I(elev^2)+av+I(av^2) evaluates to "as a function of elevation, elevation squared, aspect value, and aspect value squared." The I(elev^2) tells R that "I really do mean elevation squared" so that it doesn't attempt to interpret the ^2 as an R formula operator. If you forget and type elev+elev^2 R will mis-interpret your intent.

All together, bere2.glm<-glm(berrep>0~elev+I(elev^2)+av+I(av^2),family=binomial) models the probability of the presence of Berberis as a unimodal function of elevation and aspect value.

The details of the object are available with the summary function.

summary(bere2.glm)
Call:
glm(formula = berrep > 0 ~ elev + I(elev^2) + av + I(av^2), 
                  family = binomial)
 
Deviance Residuals:
    Min       1Q   Median       3Q      Max
-2.3801  -0.7023  -0.4327   0.5832   2.3540
 
Coefficients:
              Estimate Std. Error z value Pr(>|z|)
(Intercept)  7.831e+01  4.016e+01   1.950   0.0512 .
elev        -2.324e-02  1.039e-02  -2.236   0.0254 *
I(elev^2)    1.665e-06  6.695e-07   2.487   0.0129 *
av           4.385e+00  2.610e+00   1.680   0.0929 .
I(av^2)     -4.447e+00  2.471e+00  -1.799   0.0719 .
---
Signif. codes:  0 '***' 0.001 '**' 0.01 '*' 0.05 '.' 0.1 ' ' 1
 
(Dispersion parameter for binomial family taken to be 1)
 
    Null deviance: 218.19  on 159  degrees of freedom
Residual deviance: 143.19  on 155  degrees of freedom
AIC: 153.19
 
Number of Fisher Scoring iterations: 5

The listing includes deviance residuals quartiles, variable coefficients, null deviance vs residual deviance, and an AIC (Akaike information criterion) statistic. This last item doesn't concern us yet, but will be handy later on.

The output includes a Z statistic (standardized normal deviate) and p value for each variable in the model, and tests the hypothesis that the true value of each coefficient is 0. As you can determine from the output, it appears that elev and I(elev^2) are significantly different from 0, and the intercept is marginal.

While glm models do not have quite the same properties as ordinary least squares (e.g. deviance instead of variance), you can still get good indications about the performance of the model. Analogous to R^2, 1-(residual deviance/null deviance) is a good indicator of overall model fit. E.g.

1-(143.1878/218.1935)
[1] 0.3437577
In addition, each term term in the model can be tested in several ways. In order, they can be tested with the anova function, particularly with a Chi-square test statistic.
anova(bere2.glm,test="Chi")
Analysis of Deviance Table
 
Model: binomial, link: logit
 
Response: berrep > 0
 
Terms added sequentially (first to last)
 
 
           Df Deviance Resid. Df Resid. Dev P(>|Chi|)
NULL                         159    218.193
elev        1   66.247       158    151.947 3.979e-16
I(elev^2)   1    5.320       157    146.627     0.021
av          1    0.090       156    146.537     0.765
I(av^2)     1    3.349       155    143.188     0.067

The test being performed assumes that the difference in deviance (See Deviance column) attributed to a particular variable is distributed as Chi-square with the number of degrees of freedom attributed to that variable (See Df column). E.g., the elev variable achieves a reduction in deviance of 66.247 at a cost of 1 degree of freedom; the associated probability of that much reduction by chance (Type I error) is essentially 0. It is important to realize that this table uses the variables in the order given in the equation, and that each variable is tested against the residual deviance after earlier variables (including the intercept) have been taken into account. The indication is that elevation is very important, and that the quadratic term is also statistically significant. Neither av nor I(av^2) is significant, at least after accounting for elevation.

For nested models (where a simpler model is a formal subset of the more complex model) it is also possible to compare glms with the anova function as follows:

bere3.glm<-glm(berrep>0~elev+I(elev^2),family=binomial) 
anova(bere3.glm,bere2.glm,test="Chi")
Analysis of Deviance Table

Model 1: berrep > 0 ~ elev + I(elev^2)
Model 2: berrep > 0 ~ elev + I(elev^2) + av + I(av^2)
  Resid. Df Resid. Dev  Df Deviance P(>|Chi|)
1       157    146.627                       
2       155    143.188   2    3.439     0.179
The table is telling us that the reduction in deviance attributable to adding av and I(av) is 3.439, and that the probability of getting that with an additional 2 degrees of freedom is 0.179. This suggests strongly that aspect value is not significant.

Alternatively, we can compare the AIC values for the two models with the AIC() function. Here, we choose the model with the smaller AIC as superior. The output is much more terse, and we have to remember which terms are in each model.

AIC(bere2.glm,bere3.glm)
          df      AIC
bere2.glm  5 153.1878
bere3.glm  3 152.6268

The analysis suggests that addition of av and av^2 is not a significant improvement, as we determined before.

So, how good is the model? For the time being (and for the sake of demonstration), we're going to stick with our full model even though we don't believe av matters. We'll delete it later and see the results. Our pseudo-R^2 of 0.34 suggests that the model is not great, but plant species are often difficult to model well, and we've just started. To evaluate the model more fully, let's look at graphic output.

plot(bere2.glm)
R gives you four plots (waiting for a carriage return before plotting the next panels). What we're interested in is a plot of the residuals of the model. However, if you're used to looking at residuals of linear regression plots, you're bound to find the residual plots of logistic GLM odd (or possibly depressing). Because the only possible values to the actual data are 0 or 1, many of the residuals are necessarily large, and show an interesting trend.

plot(bere2.glm)
Hit Return to see next plot:

As you can see, the residuals occur in two curves; the upper one corresponds to plots where Berberis occurs, and the lower to absence sites. The X and Y axes are in logits (log of the odds), rather than probabilities, because that's the scale that the model (and thus the residuals) is fit on. Note that the density of points is higher on the upper curve for fitted values > 0.75, with residuals approaching 0. Similarly, the density of points on the lower curve is higher at fitted values < 0.3, again with residuals near 0. So, sites where Berberis is present mostly have high fitted values, meaning that the model would predict Berberis there. Unfortunately, Berberis also occurs on sites with fitted values approaching 0, meaning that Berberis is definitely not predicted at those sites; those are errors. Mostly, however, where Berberis is absent, we predict absence.

The second plot shows the ordered residuals compared to a normal distribution. If the residuals are approximately normally distributed we can have more faith in the robustness of the model. In this case, our extreme residuals are more extreme than a normal distribution, but that's not uncommon for GLM models.

As an alternative, we can calculate the fraction (or equivalently, percent) of plots correctly predicted with the table function. Since R refers to the estimated probabilities as fitted values, we can use the fitted function to extract the fitted values and do the following:

table(berrep>0,fitted(bere1.glm)>0.5)

        FALSE TRUE
  FALSE    83    9
  TRUE     15   53

This is slightly complicated, so let's look at the call. berrep>0 you remember evaluates to a logical (TRUE or FALSE); fitted(bere1.glm)>0.5 does the same for the estimated probabilities. Here, however, we want to classify all plots with a probability > 0.5 as "present" (or in this case TRUE), and those less than 0.5 as 0 or FALSE. The first variable in the call is listed as the rows, and the second variable as the columns. As you can see, we correctly predicted 136 out of 160 plots (0.85). In addition, we made slightly fewer "errors of commission" (predicted Berberis to be present when it's absent = 9) than "errors of omission" (predicted absent when present = 15 ). These errors can be seen on the first residual plot as well. Overall, our model is fair, but is biased, and under-predicts Berberis slightly.

That's all well and good, but what does our model really look like? Well, the current model is multi-dimensional for elev and av, so it's problematic to look at directly. In this case we can look at the model one dimension at a time.

plot(elev,fitted(bere2.glm))
points(elev[berrep>0],fitted(bere2.glm)[berrep>0],col=2)

Notice how the points make a fairly smooth curve as elevation increases; this is the effect due to elevation. Notice also that there is a small vertical distribution of points at any given elevation; this is the effect due to aspect value. Notice also that the thickness of the band due to aspect value is about 0.2 at its maximum, while the amplitude of the elevation curve goes from about 0.1 to 1.0. This is a crude estimate of "effect size", where elevation has more than 5 times the effect than aspect value on the predicted value. We can make more precise estimates later, but graphic intuition is always nice, and we don't have to learn any more R to see it. The points command above colors those plots where Berberis actually occurs, so we again get a sense of how well the model is doing.

As we noted before, the av and I(av^2) variables are not contributing significantly to the fit. If we look at the model without them, we get:

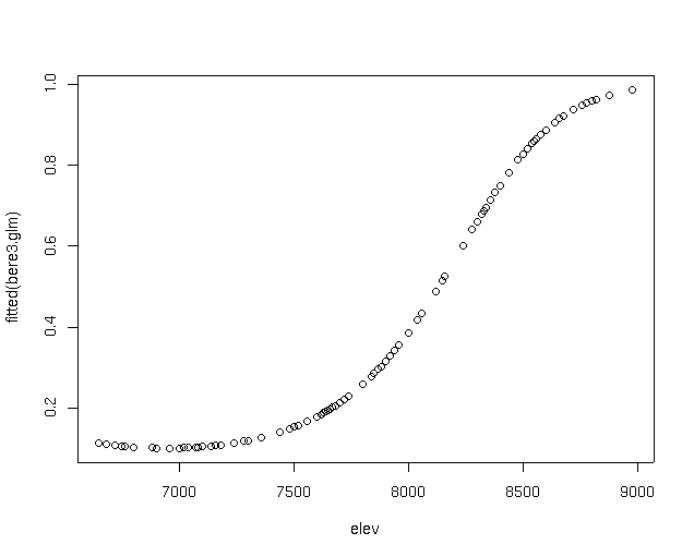
plot(elev,fitted(bere3.glm))

Notice how the scatter due to av is now gone, and we get a clear picture of the relationship of the probability of Berberis to elevation. Notice too that the curve actually goes up slightly at lower elevations; this is unexpected and probably ecologically improbable given what we know about species response to environment. While it first appeared that the GLM was successful in fitting a modal response model to the elevation data, what we actually observe is a truncated portion of an inverted modal curve. If you go back and look at the coefficients fit by the model, you see:

elev        -2.323e-02  1.030e-02  -2.256   0.0241 *
I(elev^2)    1.664e-06  6.631e-07   2.510   0.0121 *
What's important here is that the linear term elev is negative, while the quadratic term I(elev^2) is positive. This is indicative of an inverted fit; what we want is a positive linear term and negative quadratic term to get a classical unimodal response curve. Some ecologists (e.g. ter Braak and Looman [1995]) suggest that inverted curves should not be accepted, as they violate our ecological understanding and are dangerous if extrapolated. On the other hand, if accurate prediction is the primary objective, we might prefer an "improper" fit if it is more accurate within the range of our data. We can test for this, of course, as follows:
anova(bere3.glm,glm(berrep>0~elev,family=binomial),test="Chi")
Analysis of Deviance Table 

Response: berrep > 0


                 Resid. Df Resid. Dev  Df Deviance P(>|Chi|)
elev + I(elev^2)       157    146.627                       
elev                   158    151.947  -1   -5.320     0.021
In this case I didn't even store the linear logistic equation, I simply embedded the call to glm within the anova function. (Actually, we already calculated this model as bere1.glm, but I wanted to demonstrate nested calls for future use). As you can see, the quadratic term achieves a small but significant reduction in deviance. The AIC analysis agrees.
AIC(bere3.glm,glm(berrep>0~elev,family=binomial))
                                          df      AIC
bere3.glm                                  3 152.6268
glm(berrep > 0 ~ elev, family = binomial)  2 155.9469
If we decide not to accept the inverted modal GLM, going back to the simpler model would only be slightly less accurate.

In fact, converted to a simple test, the simple GLM has equal prediction accuracy (0.85).

table(berrep>0,fitted(bere1.glm)>0.5)
      FALSE TRUE
FALSE    83    9
 TRUE    15   53
This is an example where minimizing deviance and maximizing prediction accuracy are not the same thing. Some statistical approaches let you choose the criterion to optimize, but GLM does not, at least directly.

As another example of nested calls, we can plot the linear model without storing it as follows:

plot(elev,fitted(glm(berrep>0~elev,family=binomial)))
Models can be modified by adding or dropping specific terms, with an abbreviated formula as follows:
bere4.glm<-update(bere2.glm,.~.+depth,na.action=na.omit)
anova(bere4.glm,test="Chi")
Analysis of Deviance Table
 
Model: binomial, link: logit
 
Response: berrep > 0
 
Terms added sequentially (first to last)
 
 
           Df Deviance Resid. Df Resid. Dev P(>|Chi|)
NULL                         144    197.961
elev        1   69.702       143    128.258 6.896e-17
I(elev^2)   1    2.677       142    125.581     0.102
av          1    0.080       141    125.502     0.778
I(av^2)     1    7.592       140    117.910     0.006
depth       1   12.422       139    105.488 4.243e-04

The analysis added soil depth to the existing model. The notation update(bere.glm,.~.+depth means update model bere.glm, use the same formula, but add depth. The na.action=na.omit means omit cases where soil depth is unknown. Unfortunately, several plots in the data set don't have soil data.

As you should recall from Lab 2, soil depth and elevation were not independent, with deeper soils generally occurring at lower elevations. This last model suggests that soil depth is significant, even after accounting for elevation. We actually observe slightly higher deviance reduction due to elevation than before, but this is due to dropping those plots where soil depth is unknown, not to a change in the effect of elevation.

Variables can be dropped as well, as for example:

bere5.glm<-update(bere2.glm,.~.-av-I(av^2))
summary(bere5.glm)
Call:
glm(formula = berrep > 0 ~ elev + I(elev^2), family = binomial)
 
Deviance Residuals:
    Min       1Q   Median       3Q      Max
-2.5304  -0.6914  -0.4661   0.5889   2.1420
 
Coefficients:
              Estimate Std. Error z value Pr(>|z|)
(Intercept)  7.310e+01  3.979e+01   1.837   0.0662 .
elev        -2.167e-02  1.027e-02  -2.110   0.0349 *
I(elev^2)    1.560e-06  6.613e-07   2.359   0.0183 *
---
Signif. codes:  0 '***' 0.001 '**' 0.01 '*' 0.05 '.' 0.1 ' ' 1
 
(Dispersion parameter for binomial family taken to be 1)
 
    Null deviance: 218.19  on 159  degrees of freedom
Residual deviance: 146.63  on 157  degrees of freedom
AIC: 152.63
 
Number of Fisher Scoring iterations: 4
Note, however, that I had to use the I(av^2) instead of the simpler av^2 to get the correct result. Generalized linear models are an enormously powerful tool for the analysis of the distribution of plant species along environmental gradients. A variant of this approach using principles of parsimony has been advocated by Huisman, Olff and Fresco (1993). They proposed testing a series of increasingly more complicated models from a flat null model to a skewed (non-symmetric) curve for individual species. However, their models are not easily fit by the maximum likelihood methods of GLM, and require non-linear regression by least squares (although see the HOF models of Jari Oksanen for a maximum likelihood approach).

Predictive Model

It is often the case that we want to use our logistic regression model to develop a map of predicted habitat. To do this, typically we convert the model to a threshold that converts all fitted values above the threshold to PRESENT and all fitted values below the threshold to ABSENT. The values of predicted present or absent can then be compoared to observed present or absent in a two-by-two contingency table. Unlike the example given above, the table is typically strured so that TRUE is the first row and column, and FALSE is the second row and colum as shown below.

We can calculate a number of statistics on the cells of the table. Among the more commonly employed are

Prevalence \(P\) \(a+c\)
Predicted Prevalence \(P^\prime\) \(a + b\)
Sensitivity \(Se\) \(a/(a+c)\)
Specificity \(Sp\) \(d/(b+d)\)
Positive Predictive Power \(PPP\) \(a/(a+b)\)

Cohen's \(\kappa\)

Cohen's \(\kappa\) is a widely used index of agreement for \(2\times 2\) contingency tables. \(\kappa\) is designed to correct for the fraction of agreement between two assessments expected by chance (Cohen 1960), thus identifying the marginal increase in agreement due to model fit and the choice of threshold. The \(\kappa\) statistic has equation $$ \kappa = \frac{(a+d)/N - x}{1 - x} $$ where the expected agreement by chance is given by $$ x = \bigl((a+b) \times (a+c) + (d+c) \times (d+b)\bigr)/N^2 $$ Using \(\kappa\), the threshold is selected to maximize \(\kappa\).

The True Skill Statistic (TSS)

More recently, \(\kappa\) has been largely superseded by the True Skill Statistic (TSS) (Allouche et al. 2006). $$ TSS = \frac{ad - bc}{(a+c) \times (b+d)} = \frac{a}{a + c} + \frac{d}{b + d} - 1 = \frac{1}{a+c} - \frac{b}{b+d} $$ TSS is commonly given as the sum of `sensitivity' and `specificity' minus 1 where $$ TSS = Se + Sp - 1;\qquad Se = \frac{a}{a + c} \quad {\rm and} \quad Sp = \frac{d}{b + d} $$ as given in the second form just above. Like \(\kappa\), the threshold is chosen to maximize TSS. Obviously, the values pf \(a, b, c\) and \(d\) depend on where you set the threshold between PRESENT and ABSENT, and the problem is to choose the appropriate probability to maximize \(\kappa\) or TSS. The algorithm I recommend is to sort the observed values in the order of their probability from high to low, and then sort the probabilities from high to low as well. Then, iteratively set the threshold at each point and calculate \(\kappa\) and TSS. Plotting the distributions of various table statistics as well as \(\kappa\) and TSS allows visualization of the behavior of the stats. It's then a simple matter of choosing the probability that maximizes \(\kappa\) or TSS. A function called Mtt (code below) automates this process and produces tabular output with the various maxima. Revisiting model bere3.glm
thresh(brycecveg$berrep>0,fitted(bere3.glm)


      rank      pval     value        a        b        c        d
kappa   59 0.4879088 0.5875453 47.65143 11.34857 20.34857 80.65143
TSS     62 0.4348241 0.5781561 48.95590 13.04410 19.04410 78.95590
ACC     57 0.5156818 0.8021951 46.67561 10.32439 21.32439 81.67561
In this case the suggested probabilities are not far off from 0,5, but that is not necessarily true in general. ACC is accuracy, so we're at about 0.8 correct predictions.

Poisson Regression

In all the above regressions, we have modeled the probability of the presence of Berberis repens. If we want to model the expected abundance of Berberis repens we can still use GLM, but we need to specify the model slightly differently. As you will recall, the two elements of GLM were to finesse the boundedness problem of the dependent variable, and to use the appropriate variance for the estimated values. If we want to model expected abundance in percent cover, it is again bounded at the lower limit at 0.0, but is now bounded at the upper end at 100.0.

This is actually a tricky model to fit. If none of the observed or expected values actually approach 100.0, we can treat the distribution as bounded at 0 on the low end, and unbounded on the upper. In this case, the best choice might be a Poisson distribution, where we treat the percent cover as equivalent to numbers of individuals, ramets, or modules.

In Poisson regression we are again working with deviance, as opposed to variance, but the deviance is calculated differently. $$d = 2 \times \sum_{i-1}^N y_i \times log(y_i/\hat y_i) - (y_i - \hat y_i)$$ where \(y_i\) is the abundance of the species in sample unit \(i\) and \(\hat y_i\) is the fitted value. Once again, I'll use a simplistic example to demonstrate.

y <- c(1,3,2,5,4)
x <- c(1,2,3,4,5)
plot(x,y)
demo <- glm(y~x,family='poisson')
fit <- fitted(demo)
dev <- 0
for (i in 1:5) {
    dev <- dev + (y[i] * log(y[i]/fit[i]) - (y[i]-fit[i]))
}
dev <- dev * 2
dev
1.42328
To get the null deviance we simply apply the mean of \(y\) as the fitted value for each case.
null.dev <- 0
for (i in 1:5) {
    null.dev <- null.dev + (y[i] * log(y[i]/mean(y)) - (y[i]-mean(y)))
}
null.dev <- null.dev * 2
null.dev
[1] 3.590628

In real analyses we run into the complication that some values of abundance are zero, and \(log(0)\) is undefined, so $$ log(0/\hat y_i)$$ is also undefined. In this case since \(y_i\) is 0, 0 times anything is zero, and we simply drop out the term $$y_i \times log(y_i/\hat y_i)$$ That leaves \(- (y_i - \hat y_i) = \hat y_i\).

Back in Lab 1 we created a dataframe called cover which had the cover class midpoints instead of cover codes. Using this, let's model the expected abundance of Berberis repens. The most important change we will make in the function call is to specify a new family. For a Poisson distribution the variance is proportional to the mean, and we can specify that with family='poisson' in our function call, instead of family='binomial'. A second, trivial change is to round the percent cover to integer values, as a Poisson distribution expects counts. An alternative is to use ceiling() instead of round, which converts real numbers to the smallest integer that is larger than the number. In our case, round(0.5) = 0 while ceiling(0.5) = 1.

bere6.glm <- glm(round(cover$berrep) ~ elev + I(elev^2),family='poisson')
summary(bere6.glm)
 
Call:
glm(formula = round(cover$berrep) ~ elev + I(elev^2), family = "poisson")
 
Deviance Residuals:
      Min         1Q     Median         3Q        Max
-2.773616  -0.548849  -0.119568  -0.006365  10.734024
 
Coefficients:
              Estimate Std. Error z value Pr(>|z|)
(Intercept) -1.948e+02  1.063e+02  -1.833   0.0668 .
elev         4.124e-02  2.484e-02   1.660   0.0969 .
I(elev^2)   -2.153e-06  1.451e-06  -1.484   0.1379
---
Signif. codes:  0 '***' 0.001 '**' 0.01 '*' 0.05 '.' 0.1 ' ' 1
 
(Dispersion parameter for poisson family taken to be 1)
 
    Null deviance: 504.37  on 159  degrees of freedom
Residual deviance: 266.05  on 157  degrees of freedom
AIC: 337.36
 
Number of Fisher Scoring iterations: 7
This was not too successful. The problem is that the values are highly skewed, with mostly zeros, and a single very high value.
plot(elev,round(cover$berrep))
points(elev,fitted(bere6.glm),col=2)

Often the distributions of plant species are difficult to model due to extreme values in the distribution. As an example of a contrast, let's try Arctostaphylos patula.

arpa.glm <- glm(round(cover$arcpat) ~ elev + I(elev^2),family='poisson')
summary(arpa.glm)
Call:
glm(formula = round(cover$arcpat) ~ elev + I(elev^2), family = "poisson")
 
Deviance Residuals:
   Min      1Q  Median      3Q     Max
-6.529  -5.724  -4.632   2.722  13.888
 
Coefficients:
              Estimate Std. Error z value Pr(>|z|)
(Intercept) -4.657e+01  4.590e+00 -10.147   <2e-16 ***
elev         1.168e-02  1.152e-03  10.136   <2e-16 ***
I(elev^2)   -6.871e-07  7.214e-08  -9.526   <2e-16 ***
---
Signif. codes:  0 '***' 0.001 '**' 0.01 '*' 0.05 '.' 0.1 ' ' 1
 
(Dispersion parameter for poisson family taken to be 1)
 
    Null deviance: 6018.6  on 159  degrees of freedom
Residual deviance: 5479.2  on 157  degrees of freedom
AIC: 5774.6
 
Number of Fisher Scoring iterations: 7
Here we were much more successful, as you can see.
plot(elev,round(cover$arcpat))
points(elev,fitted(arpa.glm),col=2)

References

Allouche, O., A. Tsoar and R. Kadmon. 2006. Assessing the accuracy of species distribution models: Prevalence, kappa and the True Skill Statistic (TSS). Journal of Applied Ecology 43(6):1223--1232.

Huisman, J., H. Olff, and L.F.M. Fresco. 1993. A hierarchical set of models for species response analysis. Journal of Vegetation Science, 4, 37-46.

Cohen, J. 1960. Coefficient of agreement for nominal scales. Educational Psychology 20:37--40.

ter Braak, C.J.F. and C.W.N. Looman. 1995. Regression. Pages 39-77 IN R.H.G. Jongman, C.J.F. ter Braak, and O.F.R. Van Tongeren. (eds.) Data analysis in community and landscape ecology. Cambridge University Press.

Functions Used In This Lab

thresh <- function(obs,fitted)
{
    N <- length(obs)
    Z <- 1:N
    
    obs <- obs[rev(order(fitted))]
    fitted <- fitted[rev(order(fitted))]
    P <- sum(fitted)

    a <- cumsum(fitted)
    b <- cumsum(1-fitted)
    c <- P - a
    d <- N - (a+b+c)

    ppp <- a/Z
    sens <- a/(a+c)
    spec <- d/(b+d)
    kappa <- ((a+d)/N - ((a+b)*(a+c) + (c+d)*(d+b))/N^2)/
              (1-((a+b)*(a+c) + (c+d)*(d+b))/N^2)

    tss <- sens + spec - 1
    acc <- (a+d)/N
    max.tss <- which.max(tss)
    max.kap <- which.max(kappa)
    max.acc <- which.max(acc)

    vecs <- data.frame(obs,fitted,a,b,c,d,sens,spec,tss,kappa,acc=acc)
    tholds <- data.frame(c(max.kap,max.tss,max.acc),
                         c(fitted[max.kap],fitted[max.tss],fitted[max.acc]),
                         c(kappa[max.kap],tss[max.tss],acc[max.acc]),
                         c(a[max.kap],a[max.tss],a[max.acc]),
                         c(b[max.kap],b[max.tss],b[max.acc]),
                         c(c[max.kap],c[max.tss],c[max.acc]),
                         c(d[max.kap],d[max.tss],d[max.acc]))

    plot(Z,sens,col=2,ylim=c(0,1),type='l',lwd=3,
          xlab='Rank',ylab='Index')
    points(Z,spec,col=4,type='l',lwd=3)
    points(Z,tss,col=3,type='l',lwd=3)
    points(Z,acc,col=5,type='l',lwd=3)
    points(Z,kappa,col='grey',type='l',lwd=3)
  
    abline(v=max.tss,col=3,lty=2)
    abline(v=max.kap,col='grey',lty=2)
    abline(v=max.acc,col=5)
    abline(v=sum(obs),lty=3)
    text(N,0.9,'Sn',col=2,adj=1)
    text(N,0.8,'Sp',col=4,adj=1) 
    text(N,0.7,'TSS',col=3,adj=1)
    text(N,0.6,'ACC',col=5,adj=1)
    text(N,0.5,'Kappa',col='grey',adj=1)

    names(tholds) <- c('rank','pval','value','a','b','c','d')
    row.names(tholds) <- c('kappa','TSS','ACC')
    print(tholds)
    out <- list(vecs=vecs,tholds=tholds)
    invisible(out)
}